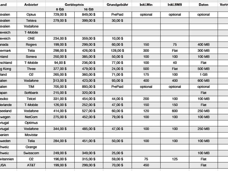
Das Gras ist auf der anderen Seite immer grüner, sagt ein altes Sprichwort. Vor allem beim Thema iPhone-Tarife fühlen sich viele Kunden geprellt und blicken neidisch auf ihre Nachbarländer.
Hier kannst du den Artikel "Die internationalen iPhone-Preise im Vergleich" kommentieren. Melde dich einfach mit deinem maclife.de-Account an oder fülle die unten stehenden Felder aus.
macyourlife07 | 09.07.2008 - 00:13 Uhr
Danke für die Übersicht. Aber fehlen da nicht einige Produktangebote. Wie z.b. das Prepaid Angebot von vodafone italien oder das prepaid angebot von 02 ?
Die Kommentare für diesen Artikel sind geschlossen.
Diskutiere mit!
Hier kannst du den Artikel "Die internationalen iPhone-Preise im Vergleich" kommentieren. Melde dich einfach mit deinem maclife.de-Account an oder fülle die unten stehenden Felder aus.
Danke für die Übersicht. Aber fehlen da nicht einige Produktangebote. Wie z.b. das Prepaid Angebot von vodafone italien oder das prepaid angebot von 02 ?